-
Korijeni :
Mat-1- gimnazija -
KORIJENI Dakić - Elezović
KORIJENI - 7.1. - zadatak - 3. pod 3)
.jpg)
-
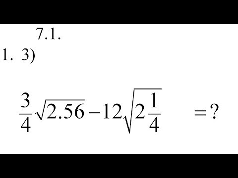
KORIJENI - 7.1. - zadatak - 1. pod 3)
.jpg)
-
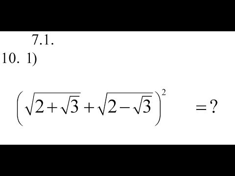
KORIJENI - 7.1. - zadatak - 10. pod 1)
.jpg)
-
KORIJENI - 7.1. - zadatak - 4. pod 1)
.jpg)
-
-
KORIJENI - 7.3. - zadatak - 1. pod 3)
-
- |
Mat-1- za 1. razred srednje šk .
po školskoj zbirci od Elematna - autora Dakić-Elezović
Korijeni :
Mat-1- gimnazija - KORIJENI pogl. 7.1. - 1 - Dakić - Elezović
KORIJENI - 7.1. - zadatak - 3. pod 3)
KORIJENI - 7.1. - zadatak - 1. pod 3)
KORIJENI - 7.1. - zadatak - 10. pod 1)
KORIJENI - 7.1. - zadatak - 4. pod 1)
KORIJENI - 7.1. - zadatak - 5. pod 1)
KORIJENI - 7.3. - zadatak - 1. pod 3)
KORIJENI - 7.3. - zadatak - 1. pod 4)
KORIJENI - 7.3. - zadatak - 2.
Mat-1- gimnazija - potencije pogl. 2.1. - 1 - Dakić
Mat-1- gimnazija - potencije pogl. 2.1. - zad.br. 5. pod 4) - Dakić
Potencije:
Mat-1- gimnazija - potencije pogl. 2.1. - 1 - Dakić
Mat-1- gimnazija - potencije pogl. 2.1. - zad.br. 5. pod 4) - Dakić
Mat-1- gimnazija - potencije pogl. 2.1. - zad.br. 6. pod 2) - Dakić
Mat-1- gimnazija - potencije pogl. 2.1. - zad.br. 7. pod 1) - Dakić
Mat-1- gimnazija - potencije pogl. 2.1. - zad.br. 4. pod 3) i 4) - Dakić
Mat-1- gimnazija - potencije pogl. 2.1. - zad.br. 1. i 2. - Dakić
Mat-1- gimnazija - potencije pogl. 2.1. - 18. pod 3) - Dakić
Mat-1- gimnazija - potencije pogl. 2.1. - 9. pod 1) - Dakić
Mat-1- gimnazija - potencije pogl. 2.1. - 17. pod 1) - Dakić
Mat-1- gimnazija - potencije pogl. 2.1. - 28. pod 1) - Dakić
Mat-1- gimnazija - potencije pogl. 2.1. - 31. pod 5) - Dakić -novo
-potencije.jpg)
Mat-1- gimnazija - potencije pogl. 2.1. - 34. pod 3) - Dakić
-2-put-potencije.jpg)
Mat-1- gimnazija - potencije pogl. 2.1. - 37. pod 4) - Dakić
Mat-1 - zadaci sa testa POTENCIJEa - novo - gimn.
Mat-1- PDF - poklon - potpuno riješeni zadaci po školskoj zbirci
- - za gimnazije - Potencije, algebarski izrazi i algeb. razlomci
Mat-1- gimnazija - algebarski izrazi pogl. 2.2. -zad. 14. -Dakić
Mat-1- gimnazija - algebarski izrazi pogl. 2.2. -zad. 26. -Dakić
Mat-1- gimnazija - algebarski izrazi pogl. 2.2. -zad. 2. -Dakić
Mat-1- gimnazija - algebarski izrazi pogl. 2.2. -zad. 32. -Dakić
Mat-1- gimnazija - algebarski izrazi pogl. 2.2. zad - -Dakić
Mat-1- gimnazija - algebarski izrazi pogl. 2.2. -zad - - -Dakić
Mat-1- gimnazija - algebarski izrazi pogl. 2.3. -zad 1. -3) -Dakić
Mat-1- gimnazija - algebarski izrazi pogl. 2.3. -zad 2. -4) -Dakić
Mat-1- gim. - algeb.i izrazi pogl. 2.3. -zad 2. -4)--treća... -Dakić
Mat-1- gimnazija - algebarski izrazi pogl. 2.3. -zad 3. -4) -Dakić
Mat-1- gimnazija - algebarski izrazi pogl. 2.3. -zad 5. -5) -Dakić
Mat-1- gimnazija - algebarski izrazi pogl. 2.3. -zad 6. -4) -Dakić
Mat-1- gimnazija - algebarski izrazi pogl. 2.3. -zad 7. -2) -Dakić
Mat-1- gimnazija - algebarski izrazi pogl. 2.3. -zad 9. -2) -Dakić
Mat-1- gimnazija - algebarski izrazi pogl. 2.3. -zad 1. -3) -Dakić
Mat-1- gimnazija - algebarski izrazi pogl. 2.3. -zad 1. -3) -Dakić
Mat-1- gimnazija - algeb. izrazi pogl. 2.4. -zad 15. -1) -Dakić -novo
Mat-1 - 5.2. - pogl. - zad: 23. pod 1) - Dakić
- novo:
Mat-1- gimnazija - Kraina-Gusić alg. izrazi pogl. 2.4. -zad 47. - n)
Mat-1- gimnazija - Kraina-Gusić alg. izrazi pogl. 2.4. -zad 47. - L)
Algebarski izrazi:
Mat-1- gimnazija - poglavlje 3.5. - 2. pod 7) - Dakić
Mat-1- gimnazija - poglavlje 3.5. - 3. pod 3) - Dakić
Mat-1- gimnazija - poglavlje 3.5. - 1. pod 5) - Dakić
Mat-1- gimn. - jednadž. sa apsolutnim vrednsotima - Dakić
-
|
Mat-1- za 1. razred srednje šk .
po školskoj zbirci od ŠKOLSKE KNJIGE - autora: Pavković-Veljan
autroa Veljan Volnec ...itd..itd...
Potencije:
Korijeni malo kompliciraniji - Pavković Veljan zad.br. 707. pod 5) -novo

- novo:
Mat-1- gimnazija - Kraina-Gusić alg. izrazi pogl. 2.4. -zad 47. - n)
Mat-1- gimnazija - Kraina-Gusić alg. izrazi pogl. 2.4. -zad 47. - L)
|
Mat-1- za 1. razred srednje šk .
po Univrezalnoj zbirci potpuno riješenih zadataka:
Koordinatni sutav u ravnini:
jedn. pravca: eksplicitni implicitni segmentni - novo
crtanje pravca koristeći svojstva koeficjenata - novo
segmentni oblik jednadžbe pravca ( iz implic.) - novo
crtanje pravca preko odsječka i nagiba - novo
jednadžba pravca - graf linearne funkcije - novo
Koordinatni sutav u ravnini vj. br. 14. - novo
Koordinatni sutav u ravnini vj. br. 11. - novo
Koord.sut, u ravnini- polovište dužine..156.- novo
analitička geometriaj trokut, visina, dužina .. - novo
-
Algebarski izrazi RASTAVLJANJE na FAKTORE:
Rastavljanje na faktore vježba br.1. -novo
Rastavljanje na faktore vježba br.2. - novo
Rastavljanje na faktore vježba br.3. - novo
Rastavljanje na faktore vježba br.4. - novo
Rastavljanje na faktore vježba br.5. - novo
Rastavljanje na faktore vježba br.6. - novo
Rastavljanje na faktore vježba br.7. - novo
.jpg)
Rastavljanje na faktore vježba br.8. - novo
Rastavljanje na faktore vježba br.9. - novo
Rastavljanje na faktore vježba br.10. - novo
.jpg)
Rastavljanje na faktore vježba br.11. - novo
Rastavljanje na faktore vježba br.12. - novo
Rastavljanje na faktore vježba br.13. - novo
Rastavljanje na faktore vježba br.14. - novo
Rastavljanje na faktore vježba br.15. - novo
|