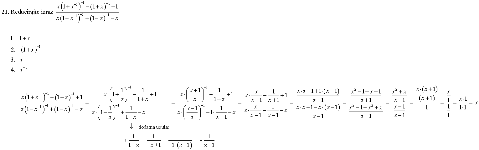
Riješenje zadatka br.21. sa prijemnog ispita na Ekonomski fakultet godina 2005/06