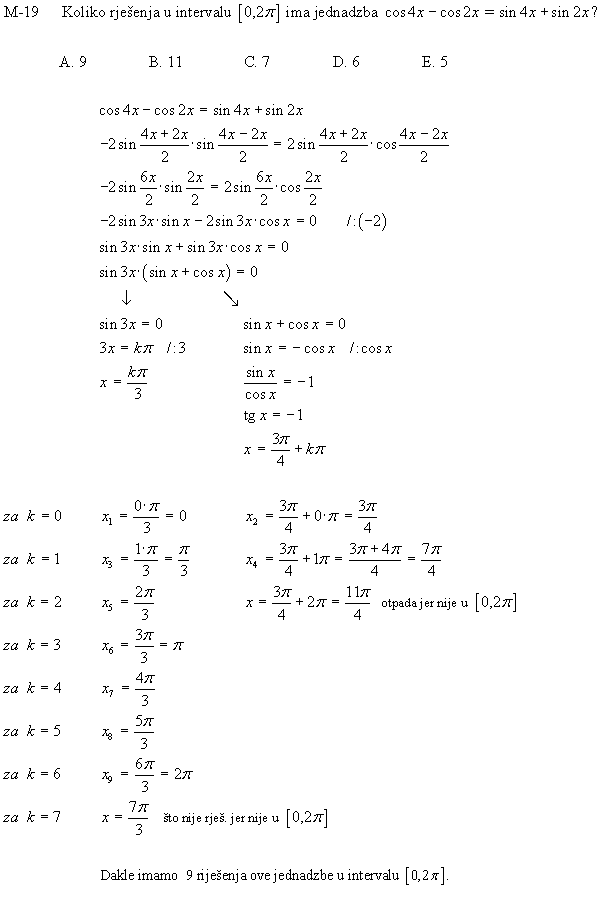
Tehnički fakultet 2005. godina