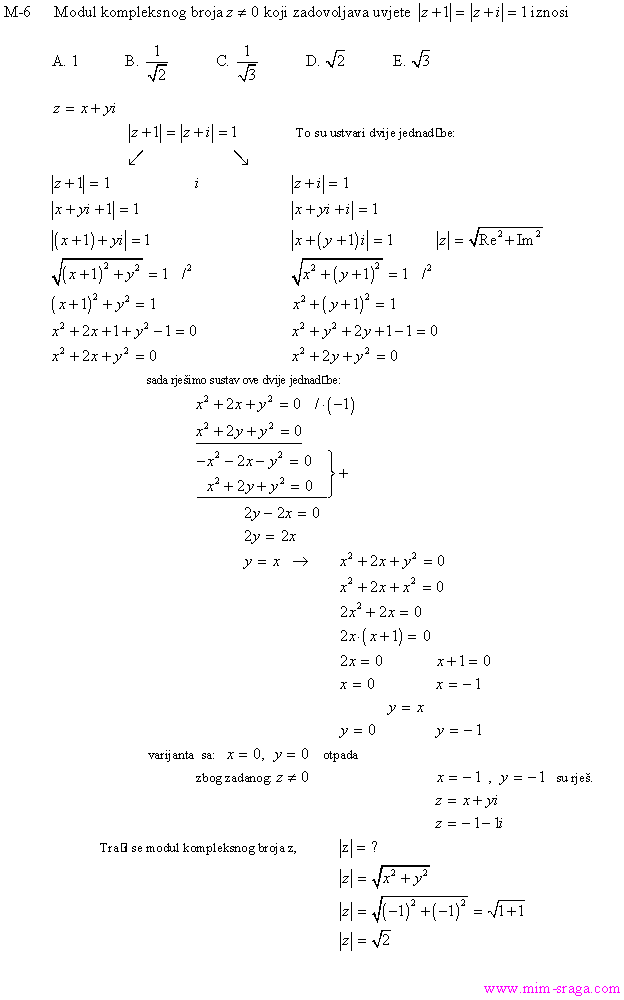
Teh-fax--2005.g.