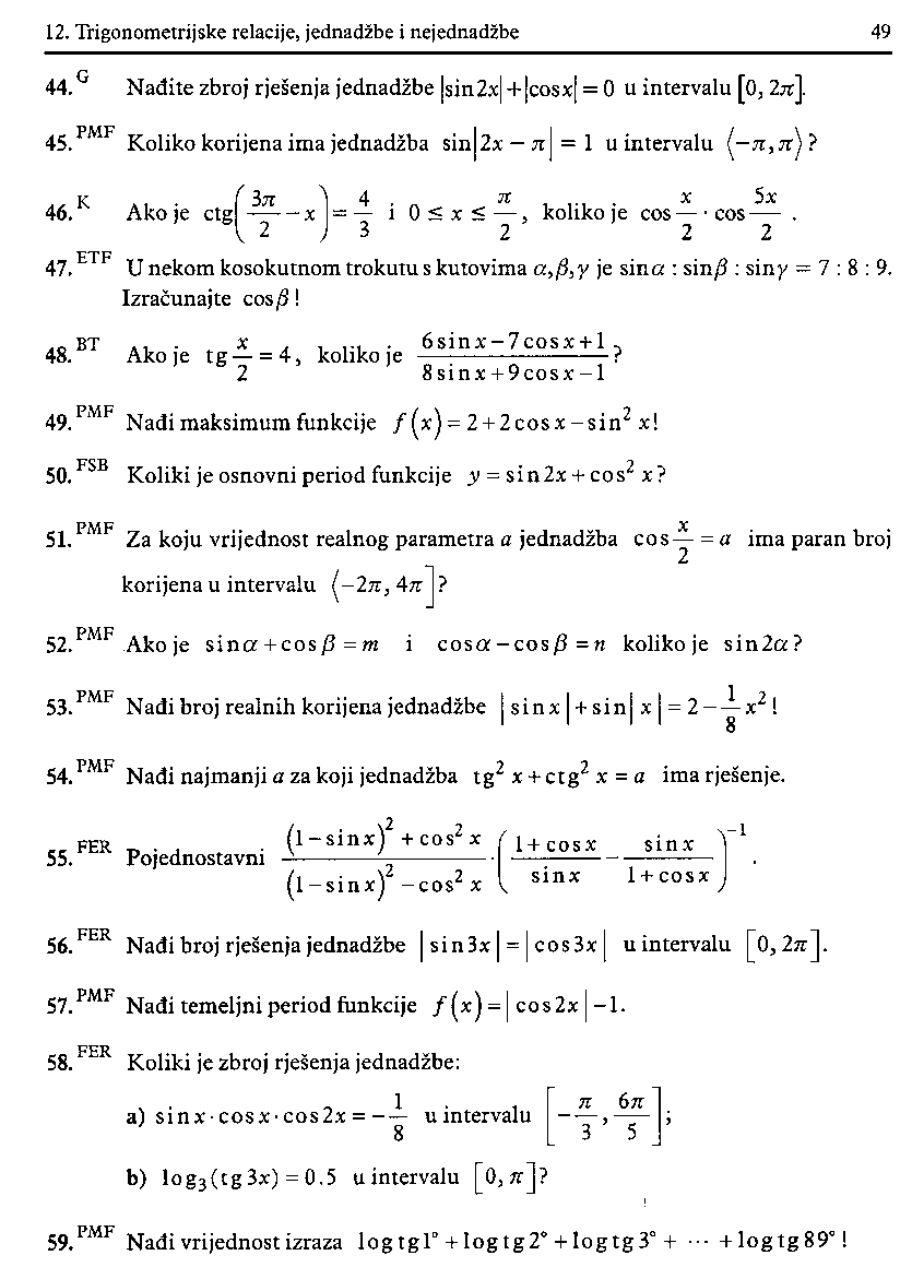
neki zadatci:

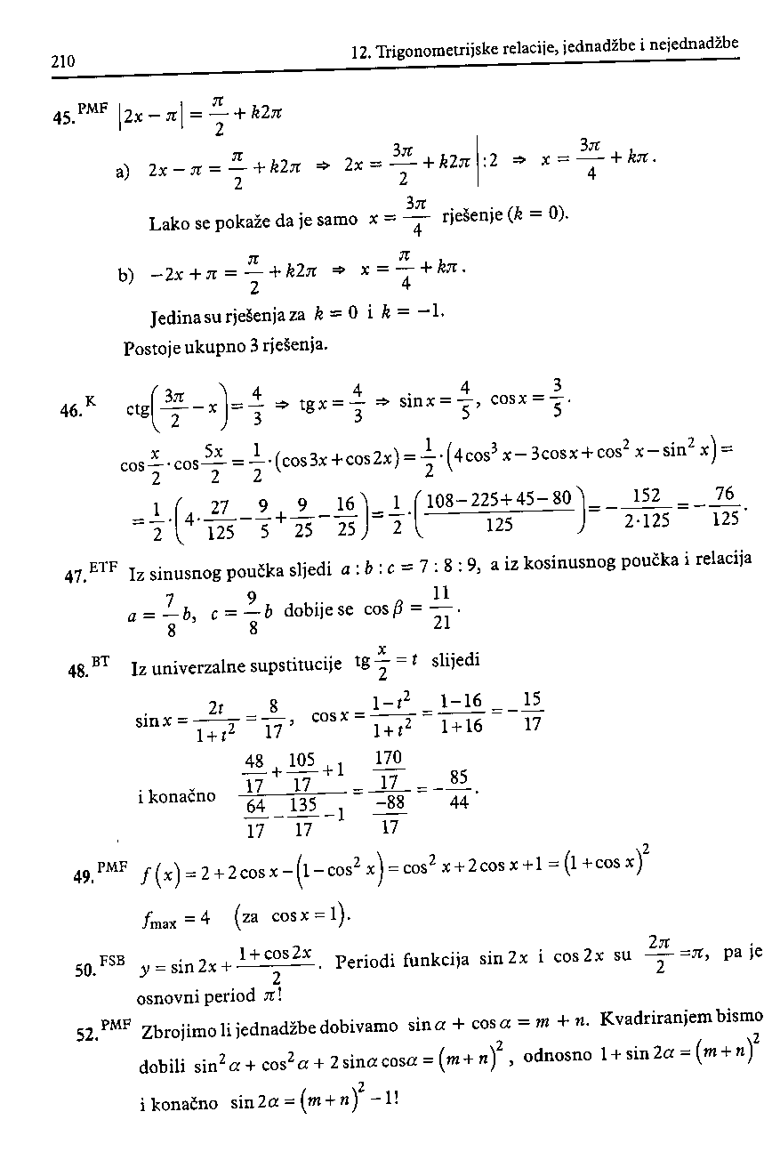
rješenja tih zadataka: