TRIGONOMETRIJSKE JEDNADŽBE
     
Trigonometrijske jednadžbe koje se rade u Hrvatskim srednjim - školama :
    YouTube - video
PDF - rješenje video - rješenje
PDF - rješenje video - rješenje

PDF - rješenje video - rješenje
PDF - rješenje video - rješenje
PDF - rješenje video - rješenje
PDF - rješenje video - rješenje
PDF - rješenje video - rješenje
PDF - rješenje video - rješenje
PDF - rješenje video - rješenje
PDF - rješenje video - rješenje
  video - rješenje
PDF - rješenje video - rješenje
PDF - rješenje video - rješenje
PDF - rješenje video - rješenje
PDF - rješenje video - rješenje
PDF - rješenje video - rješenje
     
PDF - rješenje video - rješenje
PDF - rješenje video - rješenje
PDF - rješenje video - rješenje
PDF - rješenje video - rješenje
PDF - rješenje video - rješenje
  video - rješenje
  video - rješenje
  video - rješenje
  video - rješenje
     
PDF - rješenje video - rješenje
     
Stranica u montaži - svaki dan dodajemo barem jedna zadatak ...
-
YouTube - video - rješenje
- rješenje - PDF
YouTube - video - rješenje
YouTube - video - rješenje
osnovna trigonometrijska jednadžba YouTube - video - rješenje


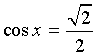
osnovne trigonometrijske
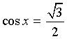
cos - jednadžbe:
KLIKOM na svaku sliku zadatka otvarate video rješenje...
 
 
 
 
  COS - jed. kompletna
rješenja - PDF

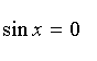
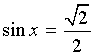
osnovne trigonometrijske
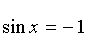
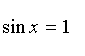
sin - jednadžbe:
KLIKOM na svaku sliku zadatka otvarate video uputu ...
 
 
 
 
   
    SIN - jed - kompletna
rješenja - PDF
   
   



 
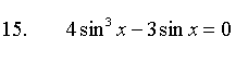
  Malo teži zadaci:  
 
- rješenje - PDF

 

 
 
     
 

osnovne trigonometrijske jednadžbe
elementarne trigonometrijske jednadžbe
osnovne trigonometrijske jednadžbe
elementarna trigonometrijska jednadžba
homogene trigonometrijske jednadžbe
homogena trigonometrijska jednadžba
trigonometrijske jednadžbe koje se svode na osnovje trigonometrijske jednadžbe
trigonometrijske jednadžbe koje se svode na algebarske jednadžbe
trigonometrijske jednadžbe koje rješavamo primjenom trigonometrijskih identiteta
rigonometrijske jednadžbe koje se svode na kvadratne jednadžbe
linearne trigonometrijske jednadžbe
linearna trigonometrijska jednadžba
projekcijska trigonometrijska jednadžba
linearna trigonometrijska jednadžba
trigonometrijske jednadžbe koje rješavamo univerzalnom supstitucijom
trigonometrijske jednadžbe simetrične u sinx i cosx
univerzalna supstitucija
univerzalna trigonometrijska supstitucija
trigonometrijske nejednadžbe
trigonometrijske jednadžbe iz školske zbirke
trigonometrisjke jednadžbe za maturu
trigonometrijske nejednadžbe - video -1 - tirgonometriske nejednadžbe br.1 , video -2 - tirgonometriske nejednadžbe br.2 , video -3 - tirgonometriske nejednadžbe br.3 ,
trigonometrijske nejednadžbe - jedna kompliciraniji sa trigonometrijskim nejednadžbama , trigonometrijska nejednadžba sa ctgx ... ,
trigonometrijske nejednačine

 
 
 
 

kompletna
rješenja
 
  -